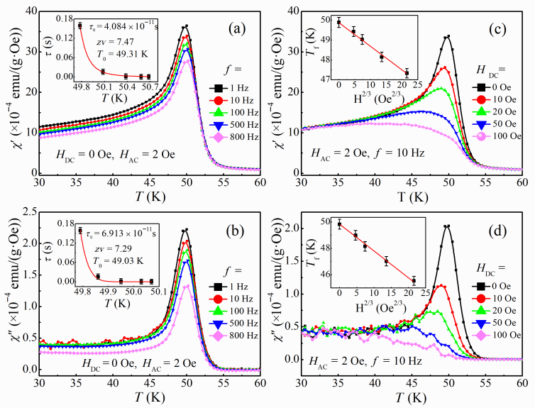
自旋玻璃(SG)作为独特磁性状态,其无序自旋结构和随机场效应为多领域研究提供可能,未来可通过缺陷工程和界面调控优化性能,解锁极端条件应用机遇。探索其基态特征对理解无序磁体本质及跨学科问题至关重要,但内在成因仍不明确,尤其在尖晶石氧化物体系中。本论文报道了立方尖晶石氧化物CoCrGaO₄中的SG行为并阐明其内在根源,磁性研究表明,多种磁竞争导致阻挫态行为,磁化率测试证实自旋玻璃特征,等温剩磁曲线拟合揭示弛豫行为与自旋阻挫。研究进一步阐明了不同温度和磁场下的交换耦合机制(无序态的内在原因),揭示了掺杂诱导磁阻挫机制,将CoCrGaO₄体系发展为研究自旋玻璃行为的潜在平台,推动尖晶石氧化物在阻挫磁性领域的基础研究与应用。

近日,物理与材料工程学院胡吉玉老师,在尖晶石体系CoCrGaO₄中发现了自旋玻璃行为并取得重要研究进展,将该研究成果发表在《Nano Research》(中科院大类一区,IF = 9.0),论文题目为“Spin-glass behavior in the competing CoCrGaO4 cubic spinel system”。胡吉玉老师为本论文的第一作者,beat365唯一官方网站訾振发教授、中国科学技术大学刘超成副研究员为本论文的通讯作者,beat365唯一官方网站-物理与材料工程学院为论文的第一通讯单位。

本论文工作获得国家自然科学基金(Nos. 12305369, 12404129, 22262013 and U1632161)、安徽省教育厅项目(Nos. 2023AH010048 and gxbjZD2022050),安徽省高校自然科学研究项目(No. 2023AH051278)和beat365唯一官方网站高层次人才研究启动基金项目(No. 2024rcjj03)的支持。(物理与材料工程学院)